SADA JE I SLUŽBENO: Zaduženost Grada Belišća je 12,65%
- Detalji
- Objavljeno: Četvrtak, 18 Siječanj 2018 14:41
- Napisao/la Vladimir Vazdar
- Hitovi: 3989
BELIŠĆE Gradonačelnik Belišća Dinko Burić danas je održao konferenciju za novinare na kojoj je jedina tema bila – zaduženost Grada Belišća.
-Na ovakav način prezentacije ovih podataka odlučio sam se nakon što je, i nakon pojašnjenja na posljednjoj prošlogodišnjoj sjednici Gradskog vijeća, kada su vijećnici Kluba HDZ-a postavili pitanje uz tvrdnje da je Grad Belišće na vrhu ljestvice zaduženih gradova u Hrvatskoj, nastavljeno sa širenjem netočnih informacija o tome, rekao je uvodno gradonačelnik Belišća dr. Dinko Burić, podastirući dokument Ministarstva financija, kojeg je potpisala pomoćnica ministra i glavna državna rizničarka mr.sc.Ivana Jakir-Bajo.
|
-Iako nije tema ove konferencije, ali moram zaključiti da je zaduženost jedinica lokalne samouprave u kojima je donedavno vlast obnašala politička stranka iz koje nam dolaze najžešći, neargumentirani napadi i netočne informacije, daleko veća nego što je naša, a o neredovitosti otplate dospjelih rata da i ne govorimo, pa je tim veća nepoznanica otkuda i zbog čega tako uporno širenje lažnih i netočnih informacija, rekao je dr. Burić odgovarajući na izravan upit o pozadini napada oporbe vezanih za kreditnu zaduženost Grada Belišća. |
-Nakon tih neargumentiranih komentara i širenja neistina o zaduženosti grada, početkom mjeseca sam zatražio službene podatke iz Ministarstva, i eto, prije dva dana podaci u stigli u obliku službenog dopisa u kojem stoji ono što smo i znali i tvrdili – grad Belišće zadužen je 12,65 %, što nije niti blizu granice dozvoljene zaduženosti od 20%, i shodno predočenim podacima, još bismo se, ovoga trenutka, mogli zadužiti za novih 14 milijuna kuna na rok od deset godina, nastavio je Burić.
- Ovo je doista posljednji puta da trošim energiju na ovu temu, a već sada mogu najaviti da ću predložiti novo zaduženje, već na sljedećoj sjednici Gradskog vijeća, jer je to u funkciji daljeg razvoja grada, najavio je gradonačelnik Burić.
-Sve dok budem gradonačelnik neću propustiti niti jednu mogućnost da grad uzme povoljan kredit kako bi isfinancirao neki od projekata iz Fondova Europske unije ili kojeg ministarstva, ustvrdio je gradonačelnik Burić.
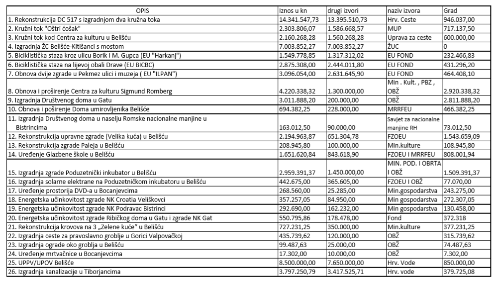
-Ponosan sam na ono što je tim mojih suradnika u proteklom razdoblju učinio na pisanju i aplikaciji projekata. U proteklom četverogodišnjem razdoblju realizirano je 37 projekata, a još su tri ugovorena i čekaju početak realizacije. Vrijednost tih projekata je 168,724.997,21 kuna, od čega je iz drugih izvora, EU fondova ili ministarstava u Belišće utkano 143,161.930,88 kuna. Za ostvarenje tih projekata je utrošeno tek 15,2 % vlastitog, proračunskog novca, 25,563.066,33 kuna. Svatko može izračunati da smo u tom razdoblju dobili gotovo šest godišnjih proračuna, utrošivši jedan, a pored toga smo još realizirali 28 projekata vlastitim novcem, bez zaduživanja.
Podaci o kapitalnim investicijama sufinanciranim iz drugih izvora
https://www.valpovstina.info/index.php/vijesti/6368-sada-je-i-sluzbeno-zaduzenost-grada-belisca-je-12-65#sigFreeId5618ce7cec
Budući da je procedura takva, da se projekt prvo realizira, pa se onda za realizirani projekt iz fondova dobije povrat novca, naravno da se moramo zaduživati da bismo kasnije kredit uredno, bez dana zakašnjenja vratili s minimalnim kamatama. Želim naglasiti, da zbog zaduživanja od 24,947.128,00 kuna nije usporena ili odložena niti jedna planirana aktivnost niti je bilo zakašnjenja u otplati kredita.
-Kao što sam naglasio, već na sljedećoj sjednici Gradskog vijeća ću predložiti novo zaduženja kako bismo financirali četiri odobrena projekta s popisa od deset koje smo nominirali. Bilo bi nerealno očekivati da će nam biti odobreni svi nominirani projekt, ali, uz već odobrena četiri, nadamo se bar još dvama projektima, zaključio je.
Planirani EU projekti u 2018. godini
https://www.valpovstina.info/index.php/vijesti/6368-sada-je-i-sluzbeno-zaduzenost-grada-belisca-je-12-65#sigFreeId3859904754




















































